Nuvem
Antigas

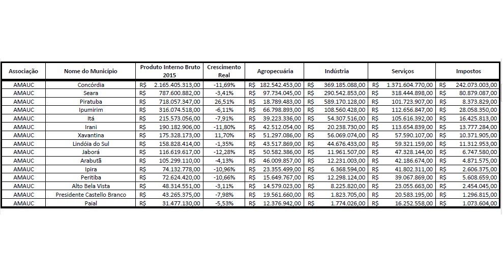
Dois municípios da região tiveram crescimento real positivo no PIB

Data 17/12/2017 às 19:40
Piratuba e Xavantina tiveram as melhores variações positivas do Produto Interno Bruto, em 2015.
Imagem
Divulgação.
Compartilhe: Whatsapp Facebook

Somente dois municípios do Alto Uruguai Catarinense tiveram crescimento real positivo no Produto Interno Bruto, PIB, em 2015. Os números foram divulgados na última semana pelo IBGE e replicados pela Federação Catarinense de Municípios, a Fecam. Tiveram variação positiva em realação ao ano anterior, os municípios de Piratuba (26,51%) e Xavantina (11,70%).

 

O Produto Interno Bruto é definido como a soma de todos os bens e serviços finais produzidos na economia em um período. Para calcular o crescimento real é levado em conta a inflação do período mensurado e o andamento da economia. 

 

Com o crescimento de 26,51% no PIB, Piratuba teve a terceira melhor variação positiva de Santa Catarina, ficando atrás de Araquari (52,90%) e Arvoredo (38,82%). Xavantina ficou na oitava colocação.

 

O restante dos municípios da Amauc tiveram crescimento real negativo. As prováveis causas, conforme a Fecam, foi o movimento agropecuário e industrial, que tiveram retração no período de 2015.

Enquete
Clima
Tempo em Concórdia-SC
Nuvem
Umidade:
Vento:
Logo Whatsapp